2026年(令和8年度)に行われた東京都公立高校入試数学(前期)の問題と解説です。
傾向は昨年と同じですので過去の問題を見ていた人は取り組みやすかったでしょう。
例年より少し解きやすい問題になっているので計算ミスなどには気をつけておきたいところです。
もともと数値をめったやたらとややこしくすることがない東京都の公立高校入試数学ですが、
今回は方針が立ちやすいものが多かったので平均点も高めに出ているのでは無いでしょうか。
(すみません。調べていません。)
2026年(令和8年度)東京都公立高校入試【数学】の問題
出題分野も偏りなく昨年とほぼ同じです。
問題PDF ⇒ 令和8年度前期数学の問題
都立入試では計算力はそれ程必要ありませんので確実に進めると良いです。
2026年(令和8年度)東京都公立高校入試【数学】の解説
第1問小問集合
\(\color{black}{\fbox{1}}\)
例年と変わりないので解説は簡単に済ませておきます。
〔問1〕
\(\hspace{10pt}\displaystyle 8+\frac{1}{4}\times \color{red}{(-6^2)}\\
\displaystyle =8+\frac{1}{4}\times \color{red}{(-36)}\\
=8-9\\
=\underline{ -1 }\)
符号に注意です。
〔問2〕
\(\hspace{10pt}\displaystyle \frac{a+2b}{3}-\frac{7a-b}{9}\\
\displaystyle =\frac{3(a+2b)-(7a-b)}{9}\\
\displaystyle =\frac{3a+6b-7a+b}{9}\\
\displaystyle =\underline{\underline{ \frac{-4a+7b}{9} }}\)
分子に(かっこ)がついていることを忘れずに通分ですね。
〔問3〕
\(\hspace{10pt}(1-\sqrt{5})^2\\
=1-2\sqrt{5}+5\\
=\underline{ 6-2\sqrt{5} }\)
なれた人は暗算でも良いですが公式利用展開が無難です。
〔問4〕
\(\begin{eqnarray}\displaystyle
7x+6&=&2x-9\\
7x-2x&=&-9-6\\
5x&=&-15\\
x&=&\underline{ -3 }
\end{eqnarray}\)
2行目はなくても良いですがミスは無いように確認しましょう。
〔問5〕
\( \begin{cases}
\hspace{4pt} x+3y=1 ・・・①\\
\hspace{4pt} 2x+5y=4 ・・・②
\end{cases}\)
第1式を変形し代入法でも良いですが、
ここでは加減法で処理しておきます。
\(\hspace{10pt}2x+6y=2\\
\underline{-)2x+5y=4}\\
\hspace{40pt}y=-2\)
①式に戻して
\(\begin{eqnarray}\displaystyle
x-6&=&1\\
x&=&7
\end{eqnarray}\)
答え \(\hspace{4pt}\underline{ x=7\,,\,y=-2 }\)
〔問6〕
\(\hspace{4pt}x^2+7x-8=0\)
因数分解できそうです。
\(\begin{eqnarray}\displaystyle
(x+8)(x-1)&=&0\\
x&=&\underline{ -8\,,\,1 }
\end{eqnarray}\)
〔問7〕
「累積相対度数」を求めるので「累積度数」を先に求めると、
15分以上20分未満の階級まで
\(\hspace{4pt}4+15+28+21=68\)
なので累積相対度数は度数合計が100だから
\(\hspace{10pt}\displaystyle \frac{68}{100}=0.68\)
答え \(\underline{ エ }\)
〔問8〕
条件を図の中に書き込んで図の中で処理です。
内接する四角形の内対角の和は180°なので、
\(\begin{eqnarray}\displaystyle
25+x+42+90&=&180\\
x&=&180-157\\
&=&23
\end{eqnarray}\)
答え \(\underline{ 23 }度\)
どうやっても良いです。
\(\,\mathrm{AB}\,\)が直径なので\(\,\mathrm{∠ACB=90^{\circ}}\,\mathrm{∠ABC=25°}\,\)。
他にも半径で作る二等辺三角形から
分かる角度はたくさんあります。
〔問9〕
点\(\,\mathrm{A}\,\)を回転させるだけの作図です。
90°回転なので垂線を引きます。
半径\(\,\mathrm{OA}\,\)の円を描きたいけど解答用紙を見るとはみ出そうなので、
もう少し短い半径の円を利用します。
直線\(\,\mathrm{OA}\,\)を引き、点\(\,\mathrm{O}\,\)を通る垂線を引く。
半径\(\,\mathrm{OA}\,\)の円を描き交点を\(\,\mathrm{B}\,\)とする。(以上)
⇒ 作図問題の解き方と入試問題(角の二等分線・垂線・円の接線他)
会員は会員サイトの作図攻略『さくっと!』でできない作図はありません。
割と難易度は上がりますが必ずチェックしておくこと。
毎年言っていることですが、ここまでで46点です。
第2問文字式標準問題
\(\color{black}{\fbox{2}}\)
良くある文字式の利用なので分かり易かったでしょう。
〔問1〕
問題のいう通りに文字式を立てれば最後まですんなり終わります。
\(\,\mathrm{P}\,\)は2けたの整数です。(一の位は0ではない。)
\(\,\hspace{10pt}\mathrm{P}=10x+y\,\)
くらいの数を入れかえた\(\,\mathrm{Q}\,\)は
\(\hspace{10pt}\mathrm{Q}=10y+x\)
\(\,\mathrm{P}\,\)と\(\,\mathrm{Q}\,\)を加え多数\(\,\mathrm{R}\,\)は
\(\begin{eqnarray}\displaystyle
\mathrm{R}&=&\mathrm{P+Q}\\
&=&(10x+y)+(10y+x)\\
&=&11x+11y
\end{eqnarray}\)
\(\,\mathrm{P}\,\)と\(\,\mathrm{Q}\,\)のそれぞれの各位の数は入れかえただけで和は同じです。
\(\begin{eqnarray}
\mathrm{S}&=&(x+y)+(y+x)\\
&=&2x+2y
\end{eqnarray}\)
このとき\(\,\mathrm{R-S}\,\)の値を考えます。
\(\begin{eqnarray}
\mathrm{R-S}&=&(11x+11y)-(2x-2y)\\
&=&9x+9y
\end{eqnarray}\)
各位の和が10のとき\(\,x+y=10\,\)だから\(\,y=10-x\,\)で、
これを\(\,\mathrm{R-S}\,\)に入れると文字が消えます。
\(\begin{eqnarray}
\mathrm{R-S}&=&9x+9y\\
&=&9x+9(10-x)\\
&=&\underline{ 90 }
\end{eqnarray}\)
これ、昨年度の解説でも言ったのですが、
何でも良いので数値を決めて計算すれば答えは出ます。
例えば2けたの数\(\,\mathrm{P}\,\)を28だとします。
(各位の数の和が10です。)
すると
\(\hspace{4pt}\mathrm{P}=28\,,\,\mathrm{Q}=82\)
\(\hspace{4pt}\mathrm{R}=28+82=110\)
\(\hspace{4pt}\mathrm{S}=(2+8)+(8+2)=20\)
\(\hspace{10pt}\mathrm{R-S}=110-20=90\)
先ずは具体的に1つ試しておいてね、という問題です。
〔問2〕
これは〔問1〕と同じことをすれば良いだけです。
【証明】
3けたの数\(\,\mathrm{X,Y}\,\)は整数\(\,a\,,\,b\,,\,c\,\)を用いて
\(\hspace{10pt}\mathrm{X}=100a+10b+c\)
\(\hspace{10pt}\mathrm{Y}=100c+10b+a\)
とおけて、条件を文字式にすると
\(\hspace{10pt}\mathrm{Z}=101a+20b+101c\)
\(\hspace{10pt}\mathrm{W}=(a+b+c)+(a+b+c)=2a+2b+2c\)
このとき
\(\begin{eqnarray}
Z-W&=&(101a+20b+101c)-(2a+2b+2c)\\
&=&99a+18b+99c\\
&=&9(11a+2b+11c)
\end{eqnarray}\)
\(\,11a+2b+11c\,\)は整数なのでこれは9の倍数である。(終わり)
良くある文字式の利用にちょっとした条件がつくだけです。
問題の意味をとれれば問題ないでしょう。
そのために〔問1〕を設定してくれているということです。
第3問関数総合問題
\(\color{black}{\fbox{3}}\)
関数と文字設定の面積問題、昨年度と同じです。
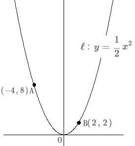
曲線\(\,\ell\,\)は
\(\hspace{10pt}\displaystyle \ell:\,y=\frac{1}{2}\,x^2\,\)
2点\(\,\mathrm{A\,,\,B}\,\)の\(\,x\,\)座標は\(\,-4\,,\,2\,\)なので
\(\hspace{4pt}\mathrm{A}\,(\,-4\,,\,8\,)\,,\,\mathrm{B}\,(\,2\,,\,2\,)\)
この2点は固定です。
〔問1〕
点\(\,\mathrm{P}\,\)の「\(\,y\,\)座標」が\(\,a\,\)です。
\(\,a\,\)のとる値の範囲は
\(\hspace{4pt}\displaystyle \underline{ \color{black}{\fbox{ 0 }}≦a≦\color{black}{\fbox{ 8 }} }\)
\(\,a\,\)は\(\,y\,\)の値(値域)であることと、
下限を\(\,\mathrm{B}\,\)の\(\,y\,\)座標\(\,2\,\)と間違えないように注意です。
〔問2〕
点\(\,\mathrm{P}\,\)は曲線\(\,\ell\,\)上の点です。
点\(\,\mathrm{P}\,\)の\(\,x\,\)座標が3のとき、
\(\hspace{10pt}\displaystyle \mathrm{P}\,\left(\,3\,,\,\frac{9}{2}\right)\)
2点\(\,\mathrm{A\,,\,B}\,\)でできる直線と平行なので、
傾きが\(\,-1\,\)(これは求めておいて下さい。)
求める直線は傾き\(\,-1\,\)で点\(\,\mathrm{P}\,\displaystyle \,\left(\,3\,,\,\frac{9}{2}\right)\,\)を通る。
\(\begin{eqnarray}\displaystyle
y&=&-1(x-3)+\frac{9}{2}\\
&=&-x+\frac{15}{2}
\end{eqnarray}\)
答え(\(\,\underline{ イ }\,\))
直線の求め方は普通に「傾き\(\,-1\,\)で\(\,\displaystyle \left(\,3\,,\,\frac{9}{2}\right)\,\)を通る」から
\(\begin{eqnarray}
y&=&-x+b
\end{eqnarray}\)
とおいて\(\displaystyle \,\left(\,3\,,\,\frac{9}{2}\right)\,\)を代入すれば良いです。
\(\begin{eqnarray}\displaystyle
\frac{9}{2}&=&-(3)+b\\
b&=&\frac{9}{2}+3=\frac{15}{2}
\end{eqnarray}\)
毎回いっているのでしつこいと思われているでしょうが、
1次関数(直線の式)は早く求められるように練習しておくと良いです。
⇒ 変化の割合とは?1次関数の求め方と直線の方程式との違い
〔問3〕
点\(\,\mathrm{P}\,\)の\(\,x\,\)座標は4より大きい数です。
ここでは点\(\,\mathrm{P}\,\)の\(\,x\,\)座標を\(\,t\,\)とします。
\(\hspace{10pt}\displaystyle \mathrm{P}\,\left(\,t\,,\,\frac{1}{2}\,t^2\,\right)\hspace{10pt}(\,4\,<\,t\,)\)
問題の条件から
\(\hspace{10pt}\mathrm{C}\,(\,4\,,\,8\,)\)(\(\,\mathrm{C}\,\)は\(\,\mathrm{A}\,\)と\(\,y\,\)軸対称)
\(\hspace{10pt}\mathrm{Q}\,(\,t\,,\,0\,)\)(\(\,\mathrm{Q}\,\)は\(\,\mathrm{P}\,\)と\(\,x\,\)座標が同じ)
\(\hspace{10pt}\mathrm{R}\,(\,t\,,\,8\,)\)(\(\,\mathrm{R}\,\)は\(\,\mathrm{A\,,\,C}\,\)と\(\,y\,\)座標が同じ)
三角形と四角形の面積比が\(\,①:④\,\)になる点\(\,\mathrm{P}\,\)の\(\,x\,\)座標を求めます。
先ずは機械的に文字式で処理します。
\(\,\mathrm{△BQR}\,\)の面積は、
\(\begin{eqnarray}
\mathrm{△BQR}&=&\frac{1}{2}\times 8\times (t-2)\\
&=&\color{blue}{4t-8}
\end{eqnarray}\)
(ここで展開処理しなくても別に構いません。)
四角形\(\,\mathrm{ABCP}\,\)の面積\(\,S\,\)は
\(\begin{eqnarray}
S&=&\mathrm{△ABC+△ACP}\\
&=&\frac{1}{2}\times 8\times 6+\frac{1}{2}\times 8\times \left(\,\frac{1}{2}\,t^2-8\right)\\
&=&24+2\,t^2-32\\
&=&\color{red}{2\,t^2-8}
\end{eqnarray}\)
これが\(\,\mathrm{△BQR}\,\)の\(\,\color{magenta}{4}\,\)倍なので、
\(\begin{eqnarray}
\color{red}{2\,t^2-8}&=&\color{magenta}{4}\times (\color{blue}{4t-8})\\
2t^2-8-16t+32&=&0\\
2t^2-16t+24&=&0\\
t^2-8t+12&=&0\\
(t-2)(t-6)&=&0\\
t&=&2\,,\,6
\end{eqnarray}\)
\(\,t\,\)に条件があって\(\,4\,<\,t\,\)なので
\(\hspace{10pt}t=6\)
答え \(\,\underline{ 6 }\,\)
途中で気がついたかもしれません。
線分\(\,\mathrm{AC}\,\)と線分\(\,\mathrm{QR}\,\)が等しいので
\(\begin{eqnarray}
4\times (\color{blue}{t-2})&=&\left(\,\color{red}{\frac{1}{2}\,t^2-8}\right)+(\,\color{red}{6}\,)\\
4t-8&=&\frac{1}{2}\,t^2-2\\
8t-16&=&t^2-4\\
t^2-8t+12&=&0\\
(t-2)(t-6)&=&0
\end{eqnarray}\)
と高さの比でも求まります。
問題はいろいろと方針があって良いように用意してくれています。
第4問平面図形の確認問題
\(\color{black}{\fbox{4}}\)
平面図形、主な単元としては相似と三平方の定理です。
〔問1〕
角度を求める定番問題です。
問題に「正方形」とあることを条件として忘れてはいけません。
対角線でできる角度\(\,\mathrm{∠ADB}\,\)は\(\,45°\,\)なので
\(\hspace{10pt}\mathrm{∠AQB}=a^{\circ}+45^{\circ}\)
だから
\(\begin{eqnarray}
\mathrm{∠BQP}&=&180°-(a°+45°)\\
&=&135°-a°
\end{eqnarray}\)
答え \(\,\underline{ ア } ( 135-a )\,\)(度)
もちろんですが、
\(\hspace{10pt}\mathrm{∠QAB}=90°-a°\)
から
\(\begin{eqnarray}
\mathrm{∠BQP}&=&90°-a°+45°\\
&=&135°-a°
\end{eqnarray}\)
こちらの方が早いです。
しかし、ほんの少し時間がかかるといっても手順にとらわれなくて良い。
大した差にはならないので考えるより手を動かしましょう。
〔問2〕
相似の証明と線分の長さを求めます。
証明はすぐに終わりますし、
長さも三平方の定理を覚えていれば問題ないでしょう。
①
相似な三角形の証明です。
正方形も平行四辺形の1つであることを忘れず、
平行線の同位角、錯角が等しくなる事、
または対頂角が等しいことから相似条件をそろえれば終わりです。
証明の書き方はあなたが普段やっている書き方でどうぞ。
⇒ 中学の図形証明問題(合同・相似)の解き方と証明の書き方ポイント
最低限必要なことをおさえておけば書き方は自由です。
②
具体的な長さが加わります。
\(\hspace{10pt}\mathrm{AB}=12\,,\,\mathrm{CP}=3\,\)
単位は\(\,\mathrm{cm}\,\)ですが解説中は省略します。
いろいろな手順がありそうです。
三平方の定理を利用するのは当然として、
線分\(\,\mathrm{AR}\,\)を抜き出して相似比を書き出すか。
①で証明した相似を利用するのが楽なのかな。
とりあえず分かるところから進めて見ます。
線分\(\,\mathrm{AB}\,\)と線分\(\,\mathrm{CP}\,\)の比が\(\,\color{red}{12}:\color{red}{3}=4:1\,\)なので、
\(\hspace{10pt}\mathrm{RC:RB}=①:④\)
\(\hspace{10pt}\mathrm{RC:BC}=①:③\)
となるのである程度の線分の長さが分かります。
ここで三平方の定理を使ってさらに線分の長さを求めておきます。
どこまで求めるかはお任せします。
足りないと思えば求め足せば良いだけです。
三平方の定理から\(\,\mathrm{AR=20}\,,\,\mathrm{PR=5}\)
後は相似でなんとかなりそうです。
相似比が\(\,12:16=\color{red}{③}:\color{red}{④}\,\)の三角形から\(\,\mathrm{AQ}\,\)を求めます。
(①の相似を利用したいので\(\,\mathrm{RS}\,\)に対する辺の長さ)
\(\hspace{10pt}\mathrm{\color{red}{△AQD}}\)∽\(\mathrm{\color{red}{△RQB}}\)です。
線分\(\,\mathrm{AR=20}\,\)なので、
\(\begin{eqnarray}
\mathrm{AQ}&=&\frac{3}{3+4}\times 20\\
&=&\frac{60}{7}
\end{eqnarray}\)
ここで①の相似\(\,\mathrm{△AQD}\,\)∽\(\,\mathrm{△RSC}\,\)の相似比は、
\(\hspace{10pt}\mathrm{AD:RC}=12:4=\color{magenta}{③}:\color{magenta}{①}\)
なので
\(\begin{eqnarray}
\mathrm{RS}&=&\frac{1}{3}\times \frac{60}{7}\\
&=&\frac{20}{7}
\end{eqnarray}\)
線分\(\,\mathrm{PR}\,\)は5なので
\(\begin{eqnarray}
\mathrm{PS}&=&\mathrm{PR-RS}\\
&=&5-\frac{20}{7}\\
&=&\underline{\underline{ \frac{15}{7} }}
\end{eqnarray}\)
①で証明した相似を利用する方向で説明しましたが、
線分\(\,\mathrm{PQ}\,\)を求めても良いし、
すべての線分の長さが求まるので何でも良いです。
相似がたくさんあるので迷うかもしれません。
そんなときは前の問題を振り返ると意外と多くの問題でヒントをくれていますよ。
第5問空間図形(立体)の確認問題
\(\color{black}{\fbox{5}}\)
三角すいの問題です。
条件を見ていって、「は?」「え?」と思ったのは受験生も同じかもしれません。
底面の\(\,\mathrm{△BCD}\,\)は正三角形です。
〔問1〕
\(\hspace{10pt}PN\,\)∥\(\,CD\,\)となるとき、
点\(\,\mathrm{P}\,\)は\(\,\mathrm{AC}\,\)の中点で\(\,\mathrm{△MPN}\,\)は\(\,\mathrm{△BCD}\,\)と相似です。
\(\,\mathrm{△MPN}\,\)は正三角形となるので内角は
\(\hspace{10pt}\mathrm{∠MPN}=\underline{ 60 }度\)
〔問2〕
点\(\,\mathrm{P}\,\)ではない点の条件は変わりません。
公式が使えそうにない体積なので全体、部分を考えます。
全体となる立体\(\,\mathrm{A-BCD}\,\)の体積を\(\,V\,\)としておきます。
※
計算しなくて良いんです。
体積比を出して、比をかけることになるので約分で済みます。
部分となる体積を見ていきます。
立体\(\,\mathrm{P-AMN}\,\)の体積は底面を\(\,\mathrm{△AMN}\,\)と見ると、
底面積が\(\,\mathrm{△ABD}\,\)の\(\displaystyle \,\frac{1}{4}\,\)で、
高さが全体の立体の\(\displaystyle \,\frac{1}{8}\,\)と見ることができます。
なので立体\(\,\mathrm{P-AMN}\,\)の体積は\(\,\displaystyle \frac{1}{32}\,V\)となります。
同じように部分の立体\(\,\mathrm{M-BCD}\,\)の体積は、
底面が\(\,\mathrm{△BCD}\,\)と同じで、高さが全体の\(\displaystyle \,\frac{1}{2}\,\)と見ることができます。
なので立体\(\,\mathrm{M-BCD}\,\)の体積は\(\,\displaystyle \frac{1}{2}\,V\)。
この2つの立体を取り除いたものが立体\(\,\mathrm{M-CDMP}\,\)で、
求める体積は全体から2つの部分体積を引きます。
\(\hspace{10pt}\displaystyle V-\frac{1}{32}\,V-\frac{1}{2}\,V\\
\displaystyle =\frac{15}{32}\,V\)
全体の体積\(\,V\,\)を求めて答えを出しますが、
約分すれば良いので\(\,V\,\)を求める必要はありません。
全体の立体は底面が1辺\(\,\mathrm{\color{red}{8}cm}\,\)の正三角形、
高さは\(\,\color{red}{8}\,\)の三角すいなので、
求める立体の体積は
\(\begin{eqnarray}
\frac{15}{32}\times V&=&\frac{15}{32}\times \frac{1}{3}\times \frac{1}{2}\times 8\times 4\sqrt{3}\times 8\\
&=&\underline{ \color{black}{\fbox{20}}\sqrt{\color{black}{\fbox{3}}} }\,(\mathrm{cm^3})
\end{eqnarray}\)
説明を見るとややこしく見えるのはいつものことです。
自分で書き出して計算してみて下さい。
「体積比の出し方になれていれば」きれいな数値です。
以上です。
チェックが不十分ですので入力ミスなどありましたらご指摘下さい。
東京都の公立入試問題はマークシートを使います。
計算がややこしいわけではありませんが適当に書いても正解にはなりません。
数学の基礎をおさえて考え方、使い方をしっかり復習しておきましょう。
もちろん過去問にはいくつも触れて問題構成にはなれておきましょう。